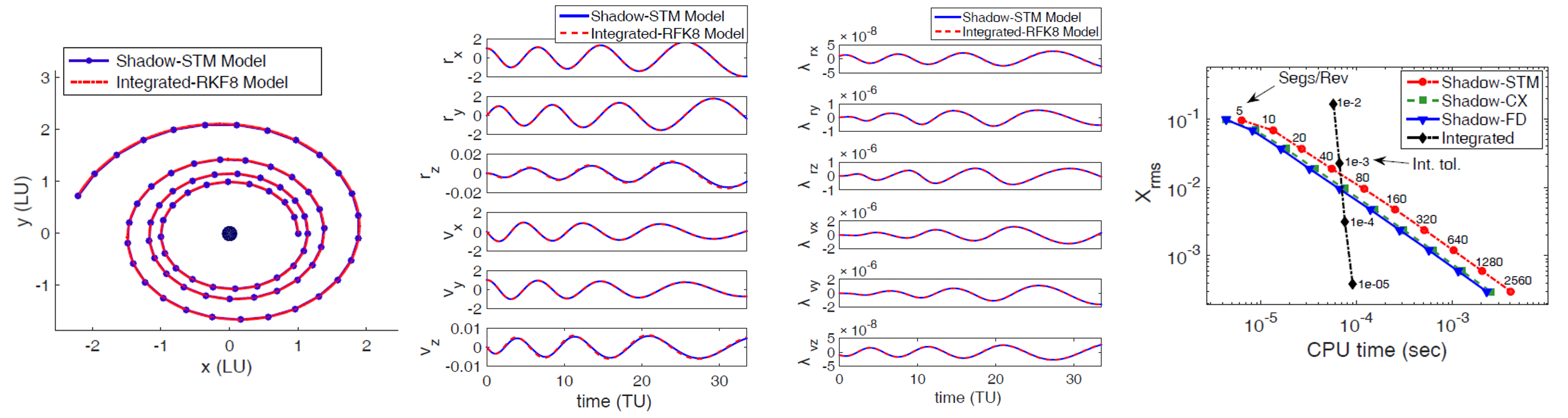
The Shadow Model allows for ballistic state and co-state propagation for fast low-thrust optimization via indirect methods.
Restrepo, R.L., Russell, R.P., The Shadow Model for Fast Low-Thrust Indirect Optimization, Journal of Spacecraft and Rockets, https://doi.org/10.2514/1.A33611

LINK to .f90 code
