Pressure monitoring and sensor placement
Lu Xing, Tal Raviv, Lina Sela. “Sensor placement for robust burst identification in water systems: Balancing modeling accuracy, parsimony, and uncertainties.” Advanced Engineering Informatics, 51, 2022.


Pipe failure prediction
T. M. Rifaai, A.A. Abokifa, and L. Sela. “Integrated approach for pipe failure prediction and condition scoring in water infrastructure systems.” Reliability Engineering & System Safety, 220, 2021.

Modeling transient hydraulics in water distribution networks
L. Xing and L. Sela. “Transient simulations in water distribution networks: TNSet Python package.” Advances in Engineering Software, 149, 2020.
G. Riaño‐Briceño, L. Sela, and B. R. Hodges. “Distributed and vectorized method of characteristics for fast transient simulations in water distribution systems.” Computer-Aided Civil and Infrastructure Engineering, 2021.
https://tsnet.readthedocs.io/en/latest/

Acoustic based leak detection
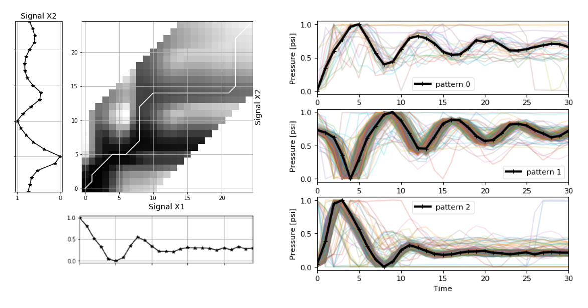
Transient event detection
L. Xing and L. Sela. “Unsteady pressure patterns discovery from high-frequency sensing in water distribution systems.” Water Research, 158, 291-300, 2019.

Pipe failures spatial analysis and prediction
A. A. Abokifa and L. Sela “Identification of Spatial Patterns in Water Distribution Pipe Failure Data Using Spatial Autocorrelation Analysis.” Journal of Water Resources Planning and Management, 145 (12), 2019.

Water Systems Under Pressure: WATSUP@Austin

Pressure Sensors @ UT Campus June 2017
Response and recovery of infrastructure systems
U. Bhatia, L. Sela, and A. R. Ganguly. “Hybrid method of recovery: combining topology and optimization for transportation systems.” Journal of Infrastructure Systems, 26(3), pp. 1-9, September 2020.


Randomized Sensing

Event Detection
L. Perelman, J. Arad, M. Housh, and A. Ostfeld. “Event detection in water distribution systems from multivariate water quality time series.” Environmental Science and Technology, 46(15), pp. 8212-8219, August 2012. Cover page featured manuscript.



