• Home
  • Research
  • People
  • Gallery
  • CISTAR at UT Austin
  • Skip to primary navigation
  • Skip to main content
  • Skip to footer
UT Shield
The University of Texas at Austin
  • Home
  • Research
  • People
  • Gallery
  • CISTAR at UT Austin
    • Research Experiences for Teachers
    • Young Scholars Program

Research

Joan Brennecke’s interests are in the development of environmentally benign solvents and processes. Of particular interest is the use of ionic liquids and carbon dioxide for extractions, separations, and reactions.

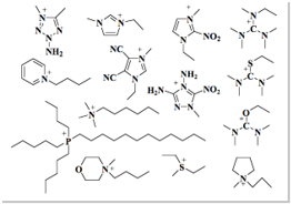
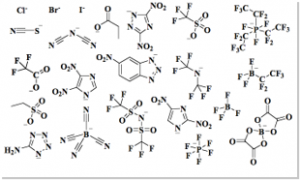
Ionic liquids are organic salts that in their pure state are liquids at ambient temperatures. Although ionic liquids are organic solvents, they exhibit vanishingly small vapor pressures. Negligible volatility means that the most prevalent route for escape to the atmosphere and also exposure to workers – evaporation – is absent. Supercritical fluids are compounds that have been heated and pressurized above their critical temperatures and pressures. At conditions near the critical point, the density of the fluid can be varied from a gas-like to liquid-like with small changes in temperature or pressure to mimic a wide variety of solvents. Supercritical CO2 is nontoxic, nonflammable, abundant and inexpensive. Although it is a greenhouse gas, the use of CO2 in processes does not contribute to global warming since CO2 is not produced.

Although water stable ionic liquids are a relatively new class on compounds, it has been shown that they are suitable solvents for a wide variety of industrially important reactions. Professor Brennecke’s group has been investigating the phase behavior of ionic liquids and has shown that nonvolatile organic products can be separated from them without resorting to the use of traditional volatile organic solvents, as had been done previously. They have also shown that various gases have vastly different solubilities in ILs so they can be used for performing gas separations, either in a conventional absorber/stripper configuration or by using a supported liquid membrane. The overall goal of this work is to understand how the choice of anion, cation and substituents on the cation affects thermophysical properties and phase behavior. Towards this end, Professor Brennecke’s group collaborates extensively with the molecular modeling group of Professor Maginn. Current work focuses on the design and testing of new ionic liquids that possess particularly desirable physical property and phase behavior characteristics, necessary for important separation problems.

Selected Publications

  • Kan Huang, Tangqiumei Song, Oscar Morales-Collazo, Hongfei Jia, and Joan F. Brennecke. “Enhancing Pt/C Catalysts for the Oxygen Reduction Reaction with Protic Ionic Liquids: The Effect of Anion Structure,” J. Electrochem. Soc., 2017, 164 (13) F1448-F1459.
  • Roberto I. Canales and Joan F. Brennecke, “Comparison of Ionic Liquids to Conventional Organic Solvents for Extraction of Aromatics from Aliphatics”J. Chem. Eng. Data, 2016, 61 (5), pp 1685–1699.
  • Alfonsina E. Andreatta, Matthew P. Charnley and Joan F. Brennecke “Using Ionic Liquids to Break the Ethanol-Ethyl Acetate Azeotrope,” ACS Sustainable Chemistry & Engineering, 2015, 3, 3435-3444.
  • Liyuan Sun, Oscar Morales-Collazo, Han Xia and Joan F. Brennecke, “Effect of structure on transport properties (viscosity, ionic conductivity and self-diffusion coefficient) of aprotic heterocyclic anion (AHA) room temperature ionic liquids.  1. Variation of anionic species,”  J. Phys. Chem. B, 2015, 119, 15030-15039.
  • Roberto I. Canales and Joan F. Brennecke, “Liquid-Liquid Phase Split in Ionic Liquid + Toluene Mixtures Induced by CO2,” AIChE J., 61(9), 2015, 2968-2976.
  • Samuel Seo, Mauricio Quiroz-Guzman, Aruni DeSilva, Tae Bum Lee, Yong Huang, Brett F. Goodrich, William F. Schneider, and Joan F. Brennecke, “Chemically Tunable Ionic Liquids with Aprotic Heterocyclic Anions (AHAs) for CO2 Capture,” J. Phys. Chem. B, 2014, 118, 5740-5751.
  • B. Gurkan, B. F. Goodrich, E. M. Mindrup, L. E. Ficke, M. Massel, S. Seo, T. P. Senftle, H. Wu, T. W. Rosch, M. F. Glaser, J. K. Shah, E. J. Maginn, J. F. Brennecke, and W. F. Schneider, “Molecular Design of High Capacity, Low Viscosity, Chemically Tunable Ionic Liquids for CO2 Capture,” J. Phys. Chem. Let., 1(24), 2010, 3494-3499.
  • urcu E. Gurkan, Juan C. de la Fuente, Elaine M. Mindrup, Lindsay E. Ficke, Brett F. Goodrich, Erica A. Price, William F. Schneider, and Joan F. Brennecke, “Equimolar CO2 absorption by anion-functionalized ionic liquids,” J. Am. Chem. Soc., 132, 2010, 2116-2117.
  • Jacob M. Crosthwaite, Mark J. Muldoon, JaNeille K. Dixon, Jessica L. Anderson, and Joan F. Brennecke, “Phase Transition and Decomposition Temperatures, Heat Capacities and Viscosities of Pyridinium Ionic Liquids,” J. Chemical Thermodynamics, 37, 2005, 559-568.
  • Jennifer L. Anthony, Jessica L. Anderson, Edward J. Maginn, and Joan F. Brennecke, “Anion Effects on Gas Solubility in Ionic Liquids,” J. Phys. Chem. B, 109(13), 2005, p. 6366-6374.
  • Aaron M. Scurto, Sudhir N. V. K. Aki, and Joan F. Brennecke, “CO2 as a Separation Switch for Ionic Liquid/Organic Mixtures,” J. Am. Chem. Soc., 124, 2002, p. 10276-10277.
  • Lynnette A. Blanchard, Dan Hancu, Eric J. Beckman and Joan F. Brennecke, “Green Processing Using Ionic Liquids and CO2,” Nature, 399, 1999, p. 28-29

Selected Presentations

  • Brennecke, Joan F, Avelar Bonilla, Gabriela M, and Morales, Oscar. The Effect of Water on CO2 Capture by AHA Ionic Liquids. United States: N. p., 2017.
  • Brennecke, Joan F, Degnan, Jr, Thomas Francis, McCready, Mark J., Stadtherr, Mark A., Stolaroff, Joshua K, and Ye, Congwang. Hybrid Encapsulated Ionic Liquids for Post-Combustion Carbon Dioxide (CO2) Capture. United States: N. p., 2017.

Footer

Explore more UT

University of Texas at Austin
Cockrell School of Engineering
McKetta Department of Chemical Engineering

ITS

For students

Prospective Student Presentation
Graduate Student Milestones
Undergraduate Researchers
My UT

Donate

For researchers

Link to UT NMR
Link to ILThermo
CISTAR

        

Location

EER 3.614
2501 Speedway
Austin, TX 78712
512-731-7344
jfb[at]utexas.edu

UT Home | Emergency Information | Site Policies | Web Accessibility | Web Privacy | Adobe Reader

© The University of Texas at Austin 2026